- 비선형 자료구조
- 계층적 관계(Hierarchical Relationship)를 표현하는 자료구조
- 가지를 늘려가며 표현하게 된다.
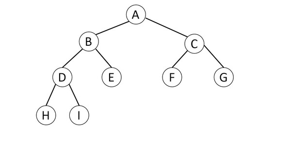
Tree의 구조

- 노드(node) : 2, 7, 5, 2, 6, 5, 11, 4, 9와 같은 요소들
- 간선(edge) : 노드와 노드를 연결하는 연결선
- 루트 노드(root) : 트리 구조에서 최상위에 존재하는 노드. 2와 같음
- 단말 노드, 잎사귀 노드(terminal node, leaf node) : 아래로 또 다른 노드가 연결되어 있지 않은 5, 11, 4와 같은 노드
- 내부 노드(internal node) : 단말 노드를 제외한 모든 노드

- 레벨(level) : 각 층별 위치
- 높이(height) : 트리의 최고 레벨, 이 트리의 높이는 3이다.
이진 트리(Binary Tree)
- 루트 노드를 중심으로 두 개의 서브트리로 나뉘어진다.
- 나뉘어진 두 서브 트리 모두 이진 트리여야 한다 => 이진 트리의 재귀적 특성
- 노드가 위치할 수 있는 곳에 노드가 존재하지 않는다면, 공집합(empty set) 노드가 존재하는 것으로 간주한다.
* 서브 트리(Sub Tree)

- 큰 트리에 속하는 작은 트리
포화 이진 트리(Full Binary Tree)

- 모든 레벨이 꽉 찬 이진 트리
완전 이진 트리(Complete Binary Tree)

- 빈틈 없이 노드가 채워진 이진 트리
- 즉, 노드가 위에서 아래로, 왼쪽에서 오른쪽의 순서대로 채워진 것
이진 트리 구현
- 재귀적인 특성 때문에 일부 연산은 재귀호출의 형태를 띤다.
- 주로 연결리스트 기반이다.
배열 기반
- 주로 연결리스트 기반이지만, 빈번한 탐색이 이루어 질 때 배열을 사용한다.
- 노드에 고유한 번호를 부여해야 한다. => 인덱스 값
- 인덱스가 0인 배열의 요소는 편의상 사용하지 않는다.
- 완전 이진 트리의 구조를 갖는 힙(heap)은 배열을 기반으로 구현한다.
연결 리스트 기반
- 연결 리스트 기반으로 트리를 구현할 경우 연결 리스트의 구성 형태와 트리가 일치한다.
이진 트리의 ADT
TreeNode * MakeTreeNode(void);
- 이진 트리 노드를 생성하고 그 주소를 반환한다.
Data GetData(TreeNode *bt);
- 노드에 저장된 데이터를 반환한다.
void SetData(TreeNode * bt, Data data);
- 노드에 데이터를 저장한다.
-data로 전달된 값을 저장한다.
TreeNode * GetLeftSubTree(TreeNode * bt);
- 왼쪽 서브 트리의 주소 값을 반환한다.
TreeNode * GetRightSubTree(TreeNode * bt);
- 오른쪽 서브 트리의 주소 값을 반환한다.
void MakeLeftSubTree(TreeNode * main, TreeNode * sub);
- 왼쪽 서브 트리를 연결한다.
void MakeRightSubTree(TreeNode * main, TreeNode * sub);
- 오른쪽 서브 트리를 연결한다.
이진 탐색 트리(Binary Search Tree)
- 규칙 1. 이진 탐색 트리의 노드에 저장된 키는 유일하다.
- 규칙 2. 부모의 키가 왼쪽 자식 노드의 키보다 크다.
- 규칙 3. 부모의 키가 오른쪽 자식 노드의 키보다 작다.
- 규칙 4. 왼쪽과 오른쪽 서브트리도 이진 탐색 트리이다.
- O(log n)의 시간 복잡도
- 저장 순서에 따라 한 쪽으로만 노드가 추가되는 Skewed Tree가 될 수 있다. 이 경우에는 Worst case가 되고 시간복잡도가 O(n)이 된다.
- 배열보다 많은 메모리를 사용했는데 탐색에 필요한 시간 복잡도가 같게 된다. => 해결하기 위해 Rebalancing
- Rebalancing : 균형을 잡기 위한 트리 구조의 재조정
이진 트리의 순회(Traversal)
전위 순회(Preorder Traversal)
- 루트 노드를 먼저
중위 순회(Inorder Traversal)
- 루트 노드를 중간에
후위 순회(Postorder Traversal)
- 루트 노드를 마지막에
수식 트리(Expression Tree)
- 이진 트리를 이용하여 수식을 표현해 놓은 것
- 수식을 수식 트리로 표현하면 컴파일러의 수식 해석이 좋아진다.
- 따라서 컴파일러는 수식의 이해를 위해서 수식을 수식 트리로 재 표현한다.
- 루트 노드에 지정된 연산자의 연산을 하되, 두 개의 자식 노드에 저장된 두 피연산자를 대상으로 연산을 한다.
-
참고
http://www.ktword.co.kr/test/view/view.php?no=4726
트리 용어
트리 관련 주요 용어, Root Node, 루트 노드, Leaf Node, 리프 노드, Tree Degree, 트리 차수, Tree Order, 트리 계수, Tree Depth, 트리 깊이, Tree Degree, 트리 디그리
www.ktword.co.kr
https://www.codingworldnews.com/news/articleView.html?idxno=3554
자료구조 어디까지 알고 있니? #5. 트리의 종류 - 코딩월드뉴스
1. 이진 트리이진 트리는 모든 노드의 자식 노드가 두 개 이하인 트리를 의미한다. 이진 트리는 서브 트리가 두 개 이하기 때문에 서브 트리는 왼쪽 서브 트리와 오른쪽 서브 트리로 구분한다. (1)
www.codingworldnews.com
윤성우의 열혈 자료구조
GitHub - JaeYeopHan/Interview_Question_for_Beginner: Technical-Interview guidelines written for those who started studying progr
:boy: :girl: Technical-Interview guidelines written for those who started studying programming. I wish you all the best. :space_invader: - GitHub - JaeYeopHan/Interview_Question_for_Beginner: Techn...
github.com
'CS' 카테고리의 다른 글
| Red-Black Tree (0) | 2022.10.01 |
|---|---|
| Binary Heap (1) | 2022.09.30 |
| Array vs Linked List (0) | 2022.09.23 |
| 함수형 프로그래밍 (0) | 2022.09.16 |
| TDD (0) | 2022.09.16 |